服务热线
0530-5837666
扫码咨询相关分析套路的研究方法
细胞外囊泡(Extracellular vesicles,EV)可由细胞产生释放的具有膜结构的囊泡结构的统称,根据其大小和生物发生过程可分为以下四种主要类型:外泌体(Exosomes,30-150nm)、微囊泡(MVs,100-1000nm)、凋亡小体(apoptotic body,50-5000nm)和癌小体(oncosomes,1-10μm)。以往的研究表明,外泌体的来源细胞种类非常丰富,几乎在人体血液、尿液、母乳和唾液等多种体液中都能发现它的踪迹。外泌体可以传递包括DNA、RNA、miRNA、脂质和蛋白质在内的多种生物活性物质到受体细胞中,同时保护包裹的内含物免受核酸酶和蛋白酶,以及外界坏境变化引起的降解和变性。也正是因为外泌体来源广泛且包含特定细胞群的内容物,还有其稳定性和远程运输以及易获取的特性,越来越多的研究将目光聚集在外泌体的诊断和预后的潜力。
那么,以外泌体开发新的生物标志物具有哪些优势呢?①外泌体本身具有特定的浓度和类型,可以反应个体健康状况;②包含亲代细胞的特定标志物和内含物,有助于鉴定亲代细胞的状态;③外泌体在外周循环中的丰富性是对已有检测鉴定方法的拓展;④外泌体可以将其包含生物活性成分传递到受体细胞,分析内含物种类和变化,可预测受体细胞的变化。基于以上优势,开发外泌体相关准确且稳定的生物标志物对于临床上的疾病诊断的早期预警具有极大的推动作用。
(图片来源于www.figdraw.com)目前已经有越来越多的研究证明基于外泌体相关RNA鉴定的生物学标志物或者是开发的新的预后风险模型均能够表现出非常优异的疾病诊断和预后效果。现在就跟大家介绍几篇关于外泌体相关特征的研究文章。
外泌体相关特征的研究案例:
1.唾液衍生的外泌体小RNA作为食管癌生物标志物
题目:A signature of saliva-derived exosomal small RNAs as predicting biomarker for esophageal carcinoma:a multicenter prospective study
DOI:10.1186/s12943-022-01499-8
食管鳞状细胞癌(ESCC)在全球癌症发病率和癌症死亡率方面排名第七,患者在诊断时通常处于淋巴结转移的优势阶段,这导致5年生存率约为20%。迫切需要开发新的生物学标志物应用于ESCC患者的早期诊断以及更精确的分层以指导辅助治疗。外泌体包含tRNA 衍生的小 RNA (tsRNA)在内的多种的小RNA。tRNA衍生的小RNA (tsRNA)以核酸酶依赖性方式产生,以响应癌症中常见的各种压力。本研究专注于富含癌症的 tsRNA 特征,以开发基于唾液外泌体的非侵入性生物标志物,用于人类食管鳞状细胞癌 (ESCC)。
采集各3名ESCC患者和健康志愿者的样本,分离外泌体并进行鉴定。测序结果显示,ESCC患者的外泌体中鉴定出1366个差异表达的 sesncRNA(不包括 miRNA)。挑选表达差异最显著的前五名sesncRNA进行表达检测验证,其中tRNA-GlyGCC-5和sRESE两者表达差异P值小于0.01。使用特异性的反义RNA进行转染,能显著抑制体外癌症细胞的多种恶性生物学行为。

图1 鉴定 ESCC 患者唾液外泌体中富含癌症的sesncRNA分析收集的患者唾液样本中sesncRNA的水平,发现在CHSUMC训练队列(200名ESCC患者和120名对照)以及ATH验证队列(140名ESCC患者和60名对照)中均显示ESCC患者的 tRNA-GlyGCC-5和sRESE显著高于健康志愿者。此外,在 CHSUMC训练队列,tRNA-GlyGCC-5和sRESE的接收者操作特征分析(AUROC)分别为0.878和0.871。将tRNA-GlyGCC-5和sRESE的表达值进行逻辑回归分析,建立bi-sesncRNA 特征风险评分(RSD),ROC分析表明bi-sesncRNA签名RSD比单独的每个 sesncRNA 具有更好的性能(AUROC为0.933)。


图2 双sesncRNA特征评估ESCC的存在为将双sesncRNA特征评分应用在ESCC预后中的潜在临床效用,基于tRNA-GlyGCC-5、sRESE和bi-sesncRNA特征RSP的中值对CHSUMC队列中的患者进行分组。Kaplan-Meier分析显示,在CHSUMC和ATH队列中,低RSP组ESCC患者的总体生存期OS和无进展生存期PFS显著长于高RSP的患者。对比bi-sesncRNA与单独的sesncRNA的预测结果,发现bi-sesncRNA签名很大程度上改善了OS和PFS的预测。
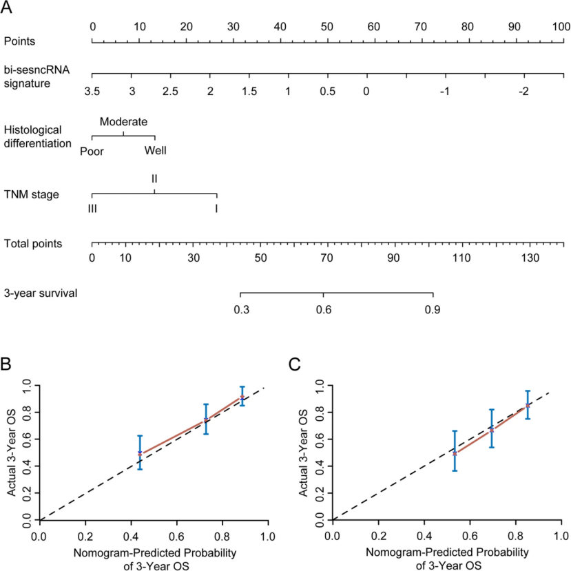
图3 双 sesncRNA 特征预测ESCC的预后列线图预测模型中,CHSUMC队列和ATH队列的3 年OS预测良好。再次证明,bi-sesncRNA特征RSP可以作为ESCC患者预后的独立预测因子
图4 bi-sesncRNA RSP预测ESCC 患者生存概率的列线图同样基于bi-sesncRNA衍生RSP的截止值(-0.436),将ESCC患者进行分组(高RSP组和低RSP组)。Kaplan-Meier生存分析结果显示在CHSUMC队列和ATH队列中,只有高RSP亚组在接受辅助治疗后患者OS和PFS能够显著延长。
图5 bi-sesncRNA RSP对术后辅助治疗的指导作用2.循环外泌体RNA标记是胰腺癌的潜在诊断标志物
题目:Single-cell analysis of a tumor-derived exosome signature correlates with prognosis and immunotherapy response
DOI:10.1186/s12967-021-03053-4
基于两个GSE100232和GSE100206数据集,对比胰腺癌患者和正常样本中血液外泌体中的RNA的差别。通过火山图可以看出胰腺癌患者血液中鉴定出大量差异表达的外泌体RNA。GSE133684数据集的分析也验证了这一点。
为了评估差异循环外泌体RNA在区分胰腺癌患者或健康对照的健康状况方面的表现,通过随机森林模型并构建了 ROC 曲线,对显著差异基因的前10名进行归一化计数,曲线下面积(AUC)值为 1.0。
图1胰腺癌患者和健康对照之间循环外泌体 RNA 的差异表达胰腺癌患者循环外泌体中差异表达RNA的通路富集采用IPA通路富集分析,结果显示前五种经典通路,包括氧化磷酸化、线粒体功能障碍、sirtuin信号通路、雌激素受体信号通路和蛋白质泛素化通路。排名靠前的疾病/病症分别为癌症、机体损伤和异常、传染病、内分泌系统疾病和胃肠道疾病。差异表达的循环外泌体 RNA 在基因表达、细胞死亡和存活、RNA 转录后修饰、蛋白质合成和细胞周期这五个分子和细胞功能的五个主要特征上具有统计学意义。网络分析表明核因子、锌指和 RNA 聚合酶、上调癌基因 PVT1)。

图2外泌体差异RNA通路富集分析收集TCGA 胰腺癌 ( n = 179)和GEPIA匹配正常组织以及胰腺组织(n = 171)验证循环外泌体中发现的差异表达模式对胰腺癌和正常组织样本的区分。HIST2H2AA3、LUZP6和HLA-DRA三个基因在胰腺肿瘤和正常组织之间存在统计学差异(p
图3胰腺肿瘤与正常组织中候选基因的差异表达及其与疾病阶段的关系考虑超过90%的PDAC病例中存在KRAS突变,进一步探索这三个基因的水平与KRAS突变状态的相关性。TCGA-PDAC数据显示HIST2H2AA3表达水平在KRAS野生型和突变体之间差异显著。
图4胰腺肿瘤中候选基因表达与 KRAS 突变状态的关联建立HIST2H2AA3、LUZP6和HLA-DRA的循环外泌体RNA特征的ROC曲线,胰腺癌与健康对照组的AUC为 0.8558 (95% CI: 0.82–0.89),胰腺癌与慢性胰腺炎的AUC为0.815 (0.77–0.86) 和慢性胰腺炎与健康对照的AUC值为0.586 (0.51–0.66)。
图5HIST2H2AA3、LUZP6 和 HLA-DRA 签名的性能验证3.肿瘤衍生外泌体特征的单细胞分析与预后和免疫治疗反应相关
题目:Single-cell analysis of a tumor-derived exosome signature correlates with prognosis and immunotherapy response
DOI:10.1186/s12967-021-03053-4
结合以前的研究,利用PCA算法整合肿瘤衍生的外泌体相关基因,定义一个新的肿瘤衍生外泌体的相关特征(TEXscore)。基于单细胞RNA-seq数据对TEXscore特征进行验证。与三个模块生成的外泌体相关签名(Signature Score)分析结果一致,进行性疾病(PD)状态下的TEXscore显著高于治疗前(Pre)和部分缓解/疾病稳定(PR/SD) 状态评分。
图1肿瘤来源的外泌体相关评分的构建在 GSE33479 队列中对比正常样本和癌症样,TEXscore从正常组织到浸润性肿瘤样本保持线性增加。为进一步研究TEXscore与癌症相关性,从泛癌中调查验证肿瘤样本和正常组织之间的TEXscore水平差异,结果显示TEXscore在13种肿瘤的正常和肿瘤样本中均存在异常显著的差异,表明TEXscore与肿瘤特征相关。
图2 TEXscore在肿瘤样本和正常组织中有所不同除了样本差异,也对TEXscore在各肿瘤种预后相关性做了评估。森林图和Kaplan-Meier 生存分析结果表明,TEXscore作为TCGA数据集中大多数癌症类型预后的不利因素。在TCGA-LUSC、TCGA-LUAD、TCGA-STAD、TCGA-BLCA以及TCGA-Pan-Cancer中低TEXscore组的总体生存率更好。
使用GEO数据集(胃癌GSE62254和肺癌GSE30219)进行验证,分析结果基本一致。



图3 TEXscore 的泛癌调查及其与预后的关联免疫检查点阻滞剂(ICB)对于肿瘤治疗有着令人惊讶的效果,因此也就诞生了非常多的预测性生物标志物以区分能够受益于ICB治疗的患者,但是预测的能力却总是差强人意。这里也以TEXscore对ICB进行预测分析。结果显示,TEXscore 的预测能力优于多个效应器。在分析膀胱癌预后中,虽然TEXscore给出的AUC值并不理想,但是Kaplan-Meier曲线表明,较高的TEXscore与IMvigor210中延长的存活时间有关。另外,TEXscore也显示与肿瘤细胞(TC)中PD-L1水平的升高相关。
使用 IMvigor210 队列中高和低TEXscore亚组之间的DEG进行功能富集分析。GO功能富集发现高TEXscore亚组中上调的基因富集于细胞外基质(ECM)重塑相关通路。基因集富集分析(GSEA)和KEGG分析高TEXscore亚组中上调的基因主要富集于肿瘤相关的信号通路。
图4 TEXscore 预测对免疫检查点阻滞剂的治疗反应已经证明TEXscore与免疫抑制微环境之间的相关性。为进一步研究外泌体介导的免疫细胞浸润模式,整合了涵盖巨噬细胞、癌症相关成纤维细胞(CAF)、髓源性抑制细胞(MDSC)、上皮间质转化(EMT) 和调节性T细胞(Treg) 的综合免疫抑制特征,以表征 TEXscore 和肿瘤微环境。TCGA数据集中TEXscore在不同肿瘤类型的免疫抑制微环境模式差异较大,但是TEXscore在大多数癌症类型中与广泛的免疫抑制特征以及免疫治疗抗性特征表现出显著相关性。
图5 TEXscore与免疫抑制微环境相关大量研究表明miRNA作为外泌体传递的重要物质,广泛参与肿瘤的发生发展。以TEXscore和miRNA之间的关系为出发点,进一步研究TEXscore的肿瘤相关性。总计收录1882个miRNAs,在高TEXscore组中显示为显著下调。另外选择前10个阴性miRNA下游靶基因2628个用于GO和KEGG富集分析,结果显示GO功能富集在神经发生过程中,包括轴突形成、突触组织和神经元投射等。而KEGG富集,除了ECM重塑机制,高TEXscore组也表现出与Ras信号通路、PI3K-Akt信号通路和 MAPK信号通路等肿瘤恶性通路富集作用。
图6 TEXscore 相关 miRNA 介导肿瘤生物学机制TEXscore结合常见基因的基因组谱分析遗传突变状态。TEXscore与TCGA-LUAD队列中STK11突变率,TCGA-STAD和TCGA-CESC中的野生型TP53负相关。整个 TEXscore基因改变率分析结果显示,TCGA-LUAD 的高TEXscore亚组中观察到高EGFR改变频率,而低TEXscore亚组主要是STK11突变,表明STK11和EGFR介导对外泌体分泌的相反作用。
图7 TEXscore 与稳定的基因组条件有关
Copyright © 2020-2023 山东行知科教仪器设备有限公司 版权所有 备案号:鲁ICP备16020776号-2
地址:高新区万福办事处吴拐行政村 电话:0530-5837666 邮箱:2586826320@qq.com
关注我们
