
长按扫码 关注工业课每周免费工业直播
免费学习工业设备管理与技术啦


单表对中找正的装架示意图

图1为单表双打
使用单表双打对中法的前提条件

图2
图中:S—两转子轴头之间的距离;D—联轴节的外径。
前提条件:S≥D/2
轴端距离越大,联轴节的直径越小,计算就越准确,当S≥D/2时,单表双打对中法对张口的敏感性强,对中的精度可以达到更高的水平。
联轴节直径比较大,端面跳动显著,建议用三表法(或双表法);
联轴节直径比较小,端面跳动较小,建议用单表法,单表法适用于长联轴节(指中间接筒较长)设备对中。
单表双打对中法的数据记录规定
当把表架固定在A转子的轴头上,表杆头触到B转子的联轴节的外圆上时,如(E)所示,叫A打B,记A→B。当把表架固定在B转子的轴头上,表杆头触到A转子的联轴节的外园上时,如(F)所示,叫B打A,记B→A。

图3
记录如下:

图4
在两次打表的过程中,盘车时的旋转方向必须相同,在记录时,四个方向的数据要一一对应,便于下一步进行计算和张口方向的判断。
数据有效性判则
数据要园。
当我们取在0°时表的读数为零,盘表一周回到0°位置时,表的读数要回零。否则,我们称数据不园,为无效数据,要查找原因。
造成数据不园的原因:
百分表不准(先检查表是否回零);
表架没有拧紧(用手指轻敲表架,看表针是否转动);
磁力表座的磁力不够,未吸牢(同上);
联轴节的外圆不园,盘车时两联轴节没有转动相同的角度。(确保转动相同的角度)。
遵守数据有效性判则

关于径向偏差的测量
为什么两转子径向的实际偏差值等于表值的一半?(即为什么实际偏差值是表值的一半?)
如图所示:以垂直方向为例,假设A、B两转子的高低差为h,联轴节的外圆半径为R。

图5
当我们以A转子的轴心为基准,可测得B转子联轴节的最高点的实际高度为:

当我们以A转子的轴心为基准,可测得B转子联轴节的最低点与A转子轴心的高度差为:

上两式相减得:

当在顶点位置时把表调为零,即L1=0,得:h=L2/2。
所以:两转子径向的实际偏差值等于表值的一半?(说明:该判则在水平方向也适用)
单表对中张口方向的判断
张口值的计算公式

图6

图7
垂直方向的张口值的计算公式:

水平方向的张口值的计算公式:

式中:⊥A—垂直方向(上下)的张口值;∥A—水平方向(左右)的张口值;S—两联轴节端面之间的距离;d—联轴节的外圆直径(打表处)。
张口值计算公式的推导
由于张口值计算公式的推导较为复杂,涉及到相似三角形等数学方面的知识,加之不影响我们的实际找正工作,在此不再叙述。
张口值计算公式的简化
关于张口值计算公式的简化我们在实际找正过程中,尤其是对小机泵的找正,都习惯于口算 ,很少笔算。所以为了便于运用,进行如下简化。
由于张口值相对与联轴节的外径和两联轴节的距离来说很小,我们可以近似的认为S=d,则张口值的计算公式变为:
垂直方向的张口值的计算公式:

水平方向的张口值的计算公式:

式中:⊥A—垂直方向(上下)的张口值;∥A—水平方向(左右)的张口值。
注意:
以上张口值的计算公式为单表找正的实际运用公式(大机组除外);
在计算中要考虑实测数据的正、负。
张口方向的判断
垂直方向公式:

当:⊥A>0时,上张口;⊥A<0时,下张口;⊥A=0时,无张口。
水平方向公式:

当:∥A>0时,右张口,向a2方向张口;当∥A<0时,左张口,向a4方向张口;当∥A=0时,无张口。
加减垫子及左右调整量的计算
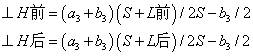
垂直方向(上、下)加减垫子的计算公式:

当⊥H>0,表示加垫子;当⊥H<0,表示减垫子;当⊥H=0,表示合适。
其中:S—两联轴节之间的距离;L前—前支腿到联轴节端面的距离:L后—后支腿到联轴节端面的距离。
水平方向(左、右)调整量的计算公式:

当∥H>0,表示向a2、b2方向移动;当∥H<0,表示向a4、b4方向移动;当∥H=0,表示合适。
垂直方向(上下)张口值计算公式的推导(水平方向不讲)如图所示:


联盟推荐TPM点检、MTP中高层管理、领导力、执行力、TWI华为班组长管理能力提升咨询培训师(讲师)
左明军

华为式班组长综合能力提升集训营
官网更多资讯
喜欢就点击在看
